index
Meshtasticator — это дискретно-событийный и интерактивный симулятор, который воспроизводит радиосекцию программного обеспечения устройства. Он помогает оценивать производительность различных сценариев и масштабируемость протокола. Симулятор Meshtasticator можно найти на Github.
Дискретно-событийный симулятор
Дискретно-событийный симулятор моделирует радиосекцию программного обеспечения устройства для анализа его поведения. Он может оценивать производительность конкретных сценариев и масштабируемость протокола.
Начало работы
Для пошаговых инструкций по использованию дискретно-событийного симулятора см. руководство по использованию дискретно-событийного симулятора.
Результаты симуляции
После каждой симуляции инструмент отображает размещение узлов и график времени для пересекающихся сообщений, отправленных во время симуляции.

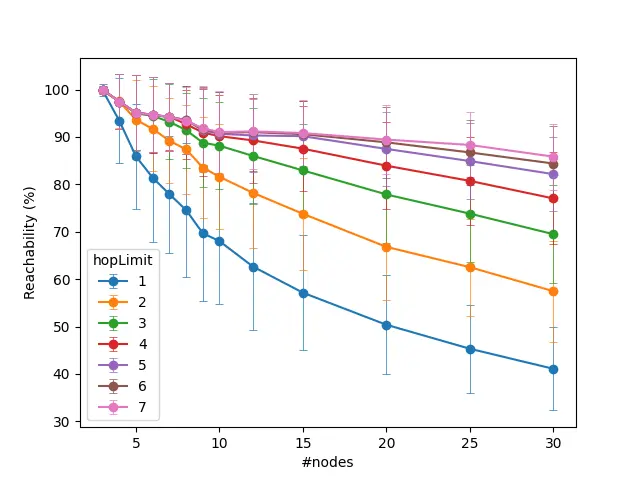
Симулятор позволяет анализировать сеть с использованием различных наборов параметров. Например, ниже приведены результаты 100 симуляций, каждая длительностью 200 секунд, с различными лимитами хопов и количеством узлов. Как и ожидалось, среднее количество достигнутых узлов на сообщение увеличивается с увеличением лимита хопов.

Однако это улучшение имеет компромисс в полезности — доля полученных пакетов, содержащих новые (не дублирующиеся) сообщения, уменьшается по мере увеличения повторной трансляции.

Интерактивный симулятор
Интерактивный симулятор использует нативное для Linux приложение Meshtastic, т. е. реальное программное обеспечение устройства, эмулируя некоторые аппаратные компоненты, включая чип LoRa. Он также может работать на Windows или macOS с использованием Docker.
Инструкции по настройке
Чтобы начать работу с интерактивным симулятором, см. руководство по использованию интерактивного симулятора.
Отладка и визуализация
Этот симулятор облегчает отладку нескольких взаимодействующих узлов без необходимости в физических устройствах.
Кроме того, поскольку симулятор имеет 'вид оракула' сети, он предоставляет информацию о маршрутах, по которым проходят сообщения.
